異噻唑啉酮類化合物做為工業殺菌劑的發展歷程
2016-10-13 10:23:55
天緯化學
1200
工業殺菌劑是在工業領域中用以殺滅或抑制微生物生長的制劑。異噻唑啉酮類化合物
(I)是一類新型的高效廣譜殺菌劑,具有殺菌、殺藻防霉等性能,從80年代開始已廣泛用于工業各個領域[2-3]。目前已商品化的有Gathon C G,
和
的混合物(Ⅱ),美國Rohm and Haa公司生產。文獻報道殺菌效果最好的是
(Ⅲ)。然而,這類化合物在使用中有三大缺點:一是水溶性差,二是對皮膚有較強腐蝕性,三是熔點低,不便于做成制劑。我們在擬定Ⅲ的簡易合成路線的同時,參考有關文獻[4~7],以Ⅲ為客體,與主體雙酚F制成包合物(Ⅳ),而以雙酚F為主體化合物未見文獻報道,其包合物收到理想的殺菌效果。化合物Ⅲ英文名是5-chloro-2-n-octyl-4-isothia-olin-3-one,簡稱COIO;中文名是5-氯-2-正辛基-4-異噻唑啉-3-酮。作者提出的合成路線如下:
:
其中用正辛胺對酯進行胺解一步未見文獻報道。三步總收率為16.7%。雙酚F及包合物的反應過程為:
:
中間及最終產物經測定熔點、IR以及1HNMR譜等數據予以確認,并補充了文獻沒有報道的部分波譜數據。最終產物經抑菌試驗得到理想的效果。
近幾十年來,一些雜環化合物如異唾哇琳酮類衍生物(結構式見圖1),因其優良性能成為新型殺菌劑開發的主流,被廣泛研究和投人工業應用。20世紀50年代末期,一些簡單的異唾哇琳酮化合物的殺菌作用引起化學家的廣泛興趣,20世紀60年代中期Goerdeler和Mittler最早提出該類化合物的合成方法。之后美國Rohm & Haas公司對其進行研制并于20世紀70年代初最先取得專利「[8],注冊為kathon系列產品〔[9-16],此后該類化合物開始逐漸應用于工業生產。

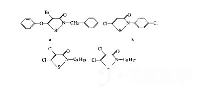
圖1一些異唾哇琳酮衍生物的結構
到20世紀80代后期,國外對這類化合物的研究達到了高潮。最初應用于工業殺菌劑的異唾哇琳酮衍生物主要是5-氯-2一甲基一4一異唾哩琳-3-酮(CMIT)和2一甲基一4一異唾哇琳-3-酮(MIT)。隨著新的衍生物成分的不斷開發,該類產品在殺菌性能及使用范圍上的優良性能逐漸被人們認識。1986年Godfrey合成了一種新的異唾哇琳酮化合物,5一苯氧基一4-澳-2-節基一3一異唾哇琳酮(圖la),它可以用作植物生長調節劑、農用化學品和工業殺菌劑。1990年Collie:和Ramsey合成1,2一苯并一3一異噬哇琳酮(圖2)[17],是一種具有高效廣譜殺菌性能的新型衍生物,不但對細菌、真菌、放線菌有明顯抑制作用,對植物的腐爛病、動物標本保存、皮革保存等也有良好的防治效果。1991年Amic合成5-氯-2- (4-抓苯基)-3一異唆哇琳酮(圖1b)1",生物學檢測發現該化合物在較小的濃度下((4-200 mg/kg)就可以有效抑制金黃色葡萄球菌、銅綠假單細胞菌和尼日爾曲霉菌等各種微生物。1999年初由美國Rohm邑Haas公司開發的4,5一二氯-2一正辛基一4一異唾哇琳-3-酮(DCO-IT)化合物,是在世界范圍內廣泛用于船舶涂料的對環境友好的海洋防污劑,在1996年贏得了Presidential Green Chemistry Challenge獎,有綠色防污劑之稱(圖2)0 2002年Morales和Abadia等人報道了4,5一二氯-2一壬基一3一異唾哇琳酮的有機錫化合物可作為一種性能良好的抗菌劑(圖lc),用于海洋防腐涂料的配方中。2004年日本的Oki-moto和Mukunoki等人報道了4,5一二氯-2一辛基一3-異唾哇琳酮(圖1d)用于船舶、魚網的防腐及地下水系的抑菌.
我國該類殺菌劑的研究興起于20世紀80年代末,最早作為化妝品防腐防霉劑介紹到國內市場,90年代初開始在工業循環冷卻水中作殺菌滅藻劑得到廣泛應用,有不少關于新型衍生物合成和其抑菌性能的報道,早期的研究主要集中在對已知異唾哇琳酮類衍生物合成的探索以及殺菌效果的檢測上,近些年來才進人自主研究開發階段。從1998年浙江省化工研究院[19]到2008年中國科學院海洋研究所[20],相繼有人合成了新型的異唾哇琳酮類衍生物,并對其在化妝品、清潔用品、工業冷卻循環水等領域內的防腐防霉性能做了詳細的研究。新型的異唾哇琳酮類衍生物的開發及其生物學功能的系列研究,大大的加速了工業殺菌劑的發展,為研制新型的能在工業上廣泛應用的高效殺菌劑提供了重要的理論基礎和指導意義。
我公司推出3Q系列殺菌劑、防腐劑、 殺菌劑,主要應用在石油化工、電力冶金等工業循環水處理,造紙工業,木材工業,涂料工業、皮革行業、日化行業及金屬切削液等行業的殺菌,防腐,防霉。